Sehr geehrter Herren Magistrat, sehr geehrter Herr Stadtverordnetenvorsitzender, sehr geehrter Herr Ausschussvorsitzender, sehr geehrte Damen und Herren,
die Fraktion Die Linke. offene Liste Butzbach beantragt folgende Beschlussfassung zur Änderung der Haushaltssatzung 2024/Investitionsplanung:
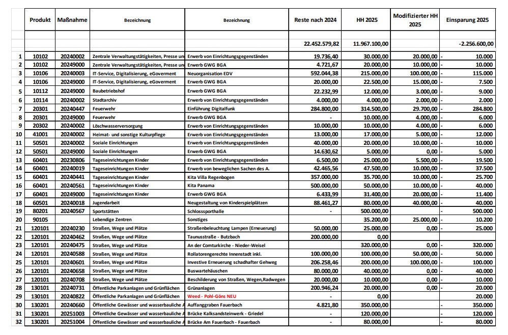
Die Beträge – in der Liste Seite 2 – in der Spalte Modifizierter HH (Haushalt) 2025 sollen anstelle der Daten im HH 2025 verwendet werden.
Als Grundlage für die geänderten Zahlen wurden herangezogen:
- die Ist-Zahlen der letzten Jahre 2020-2023 (Daten aus den veröffentlichten Haushalten)
- die genannten Haushaltsreste 2023+2024 (Info per Handout) und diese teilweise im Verhältnis zum HH 2025
- Verlagerung von Produkten in die Folgejahre

Erläuterung: Zum 31.12.2024 verfielen 3,1 Mio € (siehe Anlage) aus dem Jahr 2022. Dies waren genau 30% der in 2022 angesetzten Investitionsmittel.
Für das Jahr 2023+2024 standen Haushaltsmittel von ca. 27 Mio € zur Verfügung von denen 4,5 Mio € (17%) zum Ende 2024 verbucht/verbraucht wurden. Leider kann man aufgrund der ausgegebenen Haushaltsresteliste die Verteilung auf die Jahre 2023 und 2024 nicht auswerten.
Eine Analyse, welche Produkte dies in 2023 betrifft ist nicht möglich. Deswegen fehlt eine Auswertung bzw. wurde vom Magistrat noch nie geliefert. Eine Erläuterung warum Projekte/Produkte nach drei Jahren nicht angefangen und deswegen gestrichen wurden ohne das sie weiter aufgeführt wurden, wurde und wird vom Magistrat nicht geliefert (Liste 2 für 2022). Das dies auch schon in den vergangenen Jahren passiert ist, wurde leider von allen Gremien ungeprüft hingenommen. Eine Überprüfung auf korrekte Durchführung und eine nachhaltige Weiterverfolgung von Projekten/Produkten wurde in dieser Legislaturperiode nie gemacht.
Eine Prioritätenliste für die vergangenen Projekte/Produkte und für die Positionen HH 2025ff gibt es nicht. Und das, obwohl im Angesicht der deutlichen Problematik, dass die betroffenen Abteilungen in der Verwaltung – aufgrund der schon vorhandenen Arbeitsbelastung und teilweise fehlenden Arbeitskraft – die Projekte auf keinen Fall schaffen konnten und können.
Das Gesamtvolumen der Investitionen – Resteliste 2024 plus HH 2025 – beträgt mehr als 34 Mio €. Aufgrund der verspäteten Abgabe des Haushaltes und der damit verbundenen, späteren Genehmigung wird es in 2025 zu einer verspäteten Aufnahme von Tätigkeiten kommen.
Damit wird es automatisch zu weniger Ausgaben und damit Erfüllung der im Haushalt verankerten Ziele kommen.
Für die Haushaltsmittel des Jahres 2023 besteht unseres Erachtens eine hohe Wahrscheinlichkeit, dass es zu weiteren Ausfall von Investitionen aufgrund Nichtbeschäftigung mit den Projekten/Produkten kommt.
Wenn man von 30% Ausfall für das Jahr 2023 ausgeht, ist auch hier mit einem Ausfall von ca. 2 – 3 Mio € zu rechnen. Und auch hier ist nicht zu ersehen und wurde nicht erläutert ob und wie eine Priorität, für die im HH 2023 von uns festgelegten Maßnahmen aussieht.
Um diesem seit Jahren üblichen Procedere entgegenzuwirken haben wir auch Verschiebungen von 2025 auf Folgejahre vorgesehen, aber uns unserer Meinung nach zurückgehalten.
Bei genauerer Betrachtung und einer Prioritätenliste wären weitere Verschiebungen nicht nur möglich, sondern auch notwendig.
Die Fraktion Die Linke. offene Liste Butzbach sieht die dargestellte Einsparung von 2,3 Mio € als unproblematisch und gut bewiesen an. Die damit einhergehende Verbesserung des Haushaltes 2025 sollte einerseits eine realistischere Darstellung der Situation bieten, eine Diskussion über Plan/Ist Vergleiche anstoßen und in Zukunft den Bürgern und den betroffenen Gremien die Möglichkeit geben
Projekte/Produkte nach Verlauf und Kosten zu verfolgen. Weiterhin wird sich mit diesen Änderungen die Bewertung des Haushaltes Butzbach 2025 positiv verändern und den Spielraum für die Folgejahre auf gesündere Füße stellen.
Die Fraktion Die Linke.offene Liste Butzbach appelliert an die Fraktionen, den genannten Änderungen zuzustimmen und steht jederzeit
gerne den Fraktionen in der Haushaltssitzung und darüber hinaus zu einzelnen Punkten Rede und Antwort